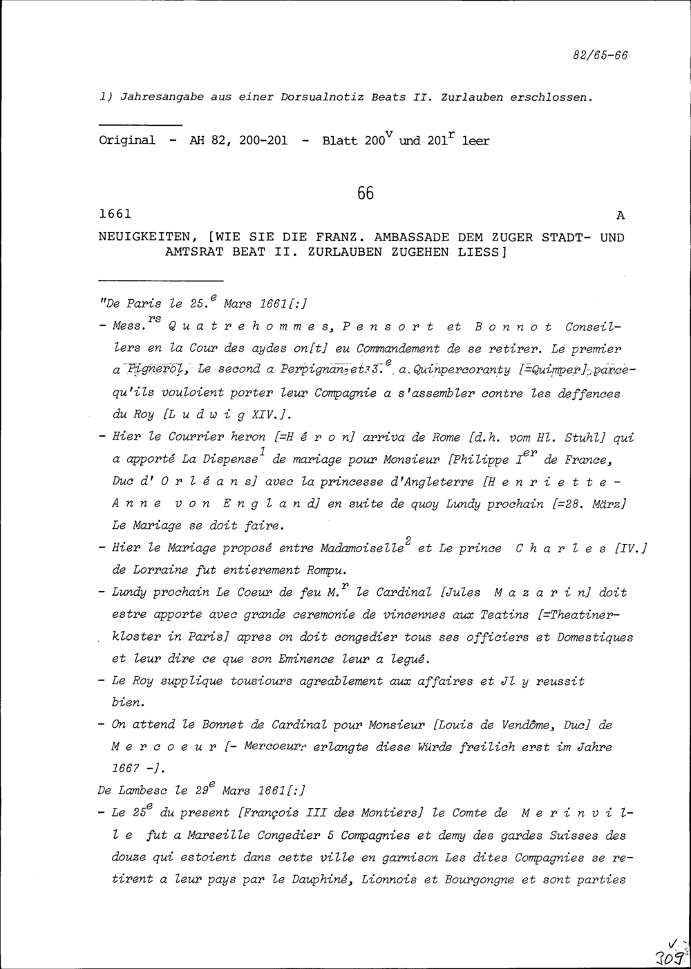
Acta Helvetica, Band 82
Neuigkeiten aus der französischen Ambassade an Beat II. Zurlauben, Stadt- und Amtrat...
Wird geladen ...
Regest
Neuigkeiten aus der französischen Ambassade an Beat II. Zurlauben, Stadt- und Amtrat Zug
Datum
1661
Einzelbild herunterladen
verfügbare Breiten
JPEG klein
JPEG groß
JPEG größer
Seiten an
Seiten aus