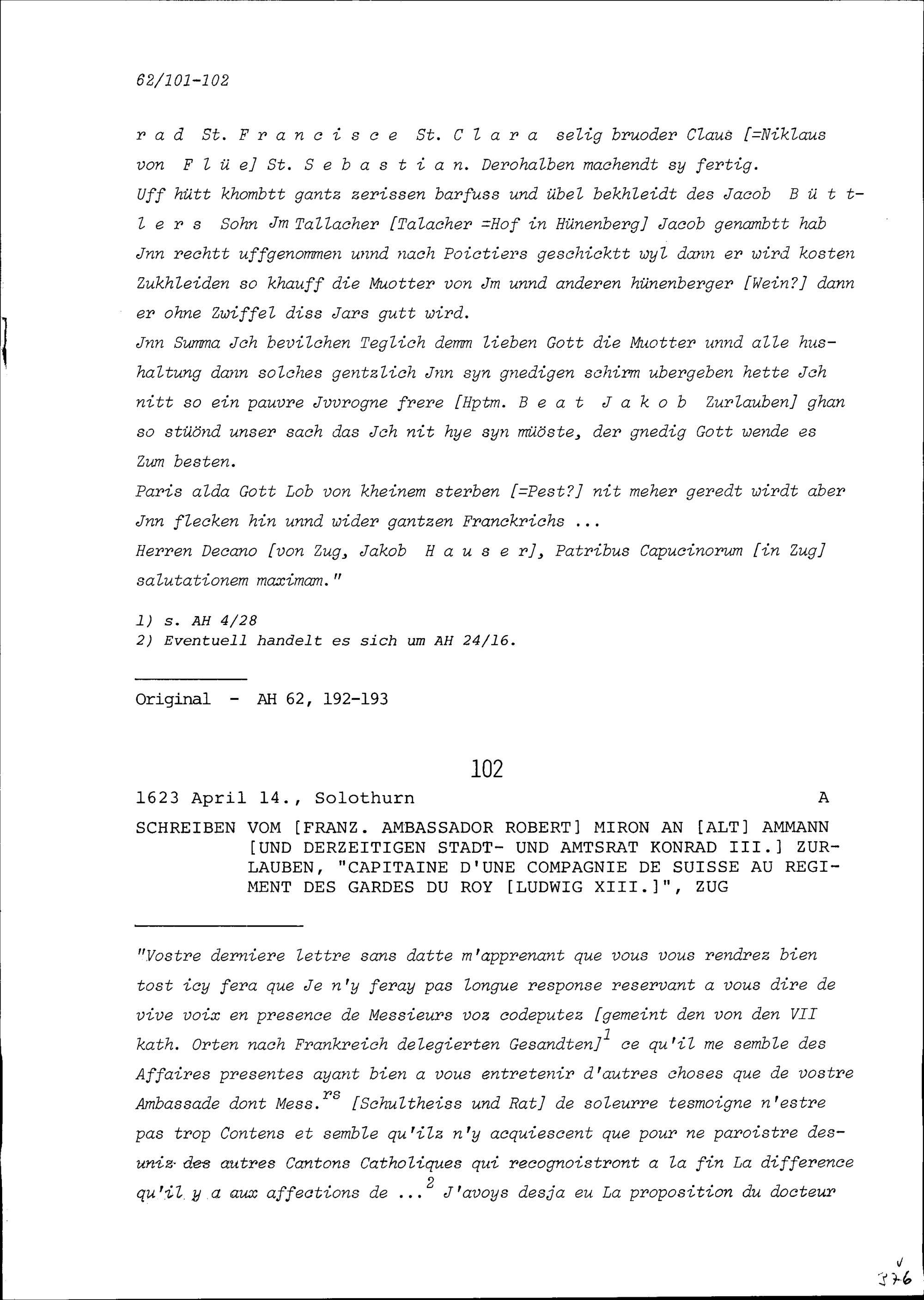
Acta Helvetica, Band 62
Schreiben von Robert Miron, Ambassador von Frankreich, an Konrad III. Zurlauben,...
Wird geladen ...
Regest
Schreiben von Robert Miron, Ambassador von Frankreich, an Konrad III. Zurlauben, Altammann und Stadt- und Amtrat, Zug
Datum
14.04.1623
Einzelbild herunterladen
verfügbare Breiten
JPEG klein
JPEG groß
JPEG größer
Seiten an
Seiten aus