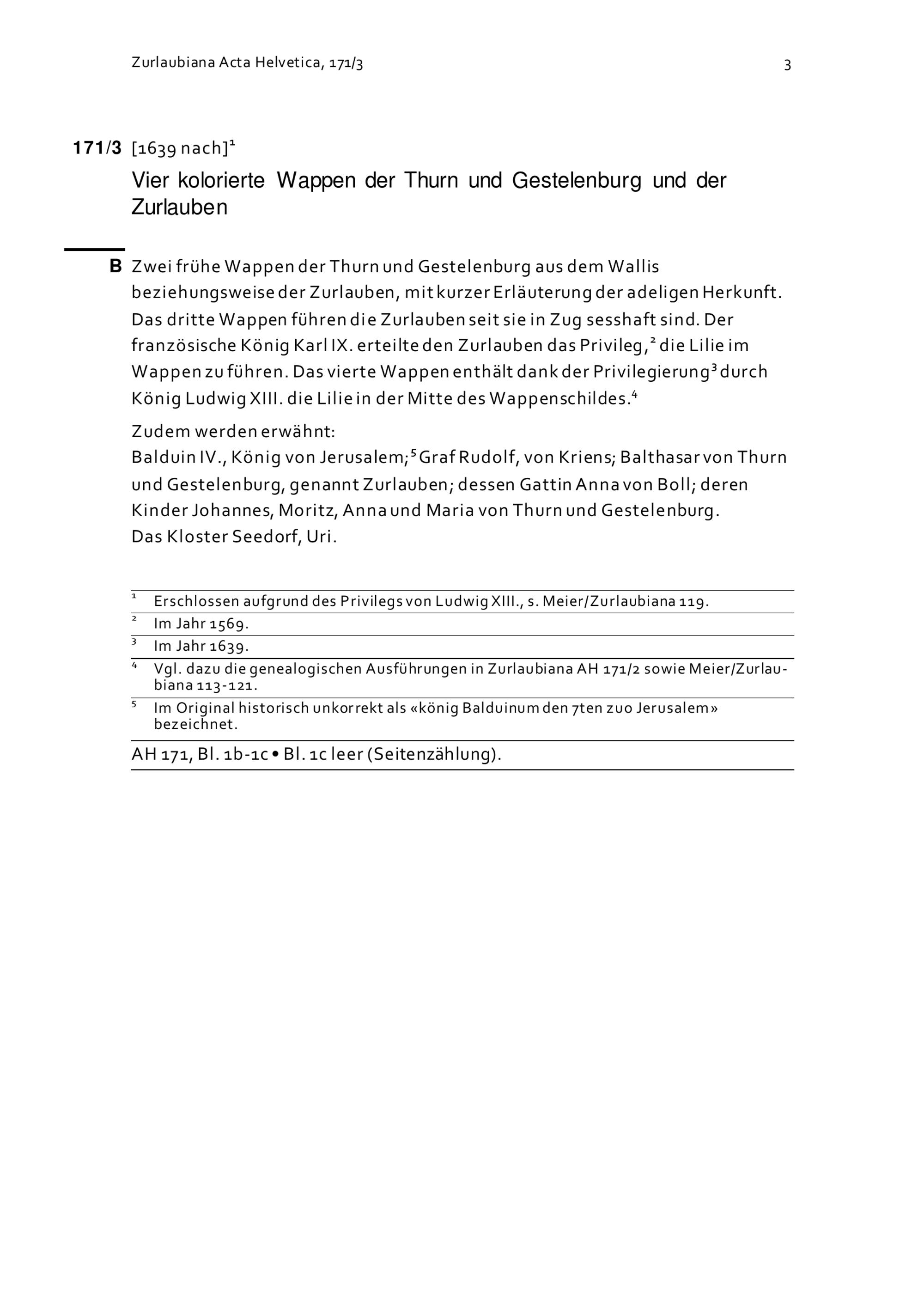
zum Hauptmenü
Aargau Digital
Schnellsuche:
OK
Erweiterte Suche
Home
Titel
Übersicht
Seite
Erste Seite
Vorige Seite
Gehe zu Seite
[1]
[2]
[3]
[4]
[5]
[6]
[7]
[8]
[9]
[10]
[11]
[12]
[13]
[14]
[15]
[16]
[17]
[18]
[19]
[20]
[21]
[22]
[23]
Nächste Seite
Letzte Seite
Alle Sammlungen
Acta Helvetica
Listen
Titel
Jahr
Clouds
Jahre
Orte
Im Dokument suchen
Acta Helvetica, Band 171
Vier kolorierte Wappen der Thurn und Gestellenburg und der Zurlauben
PDF
Druck: Exlibris von Beat Fidel Zurlauben
PDF
Genealogische Aufzeichnungen der Familie Zurlauben
PDF
Vier kolorierte Wappen der Thurn und Gestellenburg und der Zurlauben
PDF
Zeichnung von Gestellen bei Raron und Umgebung
PDF
Gedruckte fiktive Feindschaftserklärung des Sultans und türkischen Kaisers Amurat, an Leopold I., Kaiser des Heiligen Römischen Reiches, von 1663
PDF
Aufzeichnungen von Beat Fidel Zurlauben über die Fremden Dienste
PDF
Dorsualnotiz von Beat Jakob I. Zurlauben über den Empfang eines Schreibens
PDF
Schreiben von Roos an Beat Fidel Zurlauben mit der Bitte um Neuigkeiten
PDF
Schreiben von Beat Franz Plazidus Zurlauben an Beat Fidel Zurlauben betreffend die Fremden Dienste in Frankreich und familiäre Angelegenheiten
PDF
Schreiben von Beat Franz Plazidus Zurlauben an Beat Fidel Zurlauben betreffend die Fremden Dienste in Frankreich und familiäre Angelegenheiten
PDF
Schreiben von Plazid Josef Leonz Meyenberg an Beat Fidel Zurlauben betreffend Schulden eines Söldners und familiäre Angelegenheiten
PDF
Auszug aus Renward Cysats «Collectanea» über ein Bittgesuch des Stifts Sankt-Leodegar in Luzern an das Konzil von Konstanz von 1415 wegen Rechtsverhältnissen
PDF
Schreiben von Doran Beat Fidel Zurlauben betreffend Ereignisse des Siebenjährigen Kriegs und Neuigkeiten von Bekannten
PDF
Schreiben von Doran Beat Fidel Zurlauben betreffend Ereignisse des Siebenjährigen Kriegs und Neuigkeiten von Bekannten
PDF
Schreiben von Johann Herrenschwand an Beat Fidel Zurlauben mit Neuigkeiten aus Paris
PDF
Schreiben von Johann Jakob Leu an Beat Fidel Zurlauben betreffend ihre wissenschaftliche Zusammenarbeit
PDF
Schreiben von Josef Anton Felix Balthasar an Beat Fidel Zurlauben betreffend Luzerner Manuskripte
PDF
Schreiben von Johann Baptist Wieland
PDF
Schreiben von Johann Baptist Wieland an Beat Fidel Zurlauben betreffend die Beschaffung von Literatur
PDF
Schreiben von Peter Müller an Beat Fidel Zurlauben betreffend Quellenmaterial des Klosters Wettingen
PDF
Schreiben von Beat Franz Plazidus Zurlauben an Beat Fidel Zurlauben betreffend Gardesoldaten und den Kriegsverlauf
PDF
Schreiben von Peter Müller an Beat Fidel Zurlauben betreffend eine Abschrift des Stifterverzeichnisses des Klosters Wettingen
Wird geladen ...
Regest
Vier kolorierte Wappen der Thurn und Gestellenburg und der Zurlauben
Datum
nach 1639
Rechtsdrehung 90°
Linksdrehung 90°
Einzelbild herunterladen
verfügbare Breiten
JPEG small
JPEG medium
JPEG large
JPEG maximum